07 · 化学品的合理使用(Shirley Amika)
本课针对新方案高考课本编写。
化肥与农药
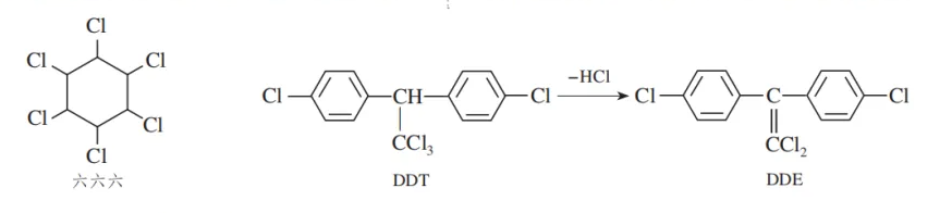
有机氯、磷农药、氨基甲酸酯和拟除虫酯等有机合成农药:高效、低毒、低残留。

有机氯农药:DDT 转变为 DDE 后毒性降低昆虫表现出抗药性。
药物
阿司匹林(乙酰水杨酸)
解热镇痛,以水杨酸为原料:

将阿司匹林和聚甲基丙烯酸(试着写出其结构简式?)连接,得到的缓释阿司匹林可作为抗血栓长效药。
青蒿素:抗疟疾。对青蒿素进行修饰、改造后得到新药。
食品添加剂(有二十多类功能)
着色剂、增味剂
天然色素有:红曲红、β-胡萝卜素、姜黄、叶绿素铜钠盐、焦糖色
合成色素有:苋菜红、柠檬黄、靛蓝
味精(谷氨酸钠)是常用的增味剂,最早是从海带中发现并提取的,现在主要通过淀粉发酵生产。

谷氨酸钠(可以不画出立体结构)
凝固剂
葡萄糖酸-内酯(现代制豆腐常用)
防腐剂、抗氧化剂
苯甲酸及其钠盐、山梨酸及其钾盐是常用的防腐剂。
抗坏血酸(即维生素C)可被氧化为脱氢抗坏血酸,是水果罐头、饮料中常用的抗氧化剂。
叔丁基对苯二酚(TBHQ)是一种抗氧化剂,在市售食用油中普遍加入。
由于不饱和脂肪酸甘油酯中含有碳碳双键,在空气中放置久了会被氧化,产生过氧化物和醛类等,变质的油脂有一种难闻的“哈喇”味,不能食用。
丁基羟基茴香醚(BHA)在脂肪、乳化脂肪制品中使用。